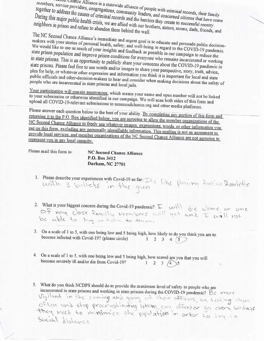
It’s like playing Russian Roulette with three bullets in the gun. Dec 12 Written By Decarcerate Now! NC Voices From Inside Decarcerate Now! NC Decarcerate Now! NC is a broad coalition of North Carolinians calling for justice, fairness, and second chances for people incarcerated in our state prisons, especially Black people and other people of color.
It’s like playing Russian Roulette with three bullets in the gun. Dec 12 Written By Decarcerate Now! NC Voices From Inside Decarcerate Now! NC Decarcerate Now! NC is a broad coalition of North Carolinians calling for justice, fairness, and second chances for people incarcerated in our state prisons, especially Black people and other people of color.